7 января 2024 /
0 комментариев
/
26 просмотров
Давление, которое табурет оказывает на пол, играет важную роль в его стабильности и безопасности использования. В данной статье мы рассмотрим методы определения этого давления и его влияние на устойчивость табурета.

1

2

3
Площадь ботинка

4

5

6

7

8

9

10
11
Тонометром

12

13

14

15

16

17

18

19

20

21
Масса офисного стола с нагруженной на него техникой 64 кг

22

23
Брусок состоит из 5 одинаковых

24

25

26

27
Масса тела равна 40 кг сила тяжести равна

28

29
Стул Лотос (СРП-049)

30

31

32
Стол массой 60 кг имеет ножки квадратного сечения

33

34
Норма давления

35
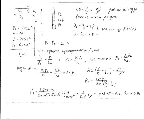
Открытый жидкостный манометр соединен с сосудами

36
Норма давления

37

38

39

40
Лак v33 Renovation

41

42

43

44
Нагрузка на позвоночник при сидении

45
Электроманометры давления воздуха

46
Высота слона составляет 2.7 м

47

48
Вес стоящего на снегу 780 н длина лыжника- 1,95

49
Пульс норма по возрастам у женщин 60 лет таблица давления

50

51
Ножки для стола с весом 80 кг

52

53
Сила тяжести формула физика 7 класс задачи

54

55

56

57
Человек массой 30 кг стоит на деревянном щите

58
В цилиндрический сосуд налиты ртуть и вода

59

60
Ящик весом 0.96 кн имеет площадь опоры 0.2

61

62
В цистерне заполненной нефтью

63
Как вычислить площадь подошвы

64

65
Методы определения давления
Для определения давления табурета на пол можно использовать несколько методов, включая измерение площади опор и веса табурета. Рассмотрим каждый из них подробнее.